CS660 Combinatorial Algorithms
Fall Semester, 1996
RedBlack, B-Trees
[To Lecture Notes Index]
San Diego State University -- This page last updated Oct 3, 1996

Contents of RedBlack, B-Trees
- References
- Red-Black Trees
- Inserting in Red-Black Tree
- Deleting in a Red-Black Tree
- B-Trees, (a,b)-Trees
- Insertion in a B-Tree
- Deletion in a B-Tree
- B-Trees and Red-Black Trees
Introduction to Algorithms, Chapters 14, 19
If your web browser can run Java applets try the web site:
http://langevin.usc.edu/. It demonstrates additions and deletions to/from
Red-Black trees and other types of trees.
A binary search tree is a red-black tree if:
- 1. Every node is either red or black
-
- 2. Every leaf (nil) is black
-
- 3. If a node is red, then both its children are black
-
- 4. Every simple path from a node to a descendant leaf contains the same
number of black nodes
Black-height of a node x, bh(x), is the number of black nodes on any path from
x to a leaf, not counting x
Lemma
- A red-black tree with n internal nodes has height at most 2lg(n+1)
proof
- Show that subtree starting at x contains at least 2bh(x)-1
internal nodes. By induction on height of x:
- if x is a leaf then bh(x) = 0, 2bh(x)-1
-
- Assume x has height h, x's children have height h -1
-
- x's children black-height is either bh(x) or bh(x) -1
-
- By induction x's children subtree has 2bh(x)-1-1 internal nodes
-
- So subtree starting at x contains
- 2bh(x)-1-1 + 2bh(x)-1-1 + 1 = 2bh(x)-1
internal nodes
-
- let h = height of the tree rooted at x
-
- bh(x) >= h/2
-
- So n >= 2h/2-1 <=> n + 1 >= 2h/2
<=> lg(n+1) >= h/2
-
- h <= 2lg(n+1)
Color the node Red
Insert as in a regular BST
If have parent is red
Case 1
x is node of interest, x's uncle is Red
Decrease x's black height by one
Case 2
x's uncle is Black, x is a Right child
Transform to case 3
Case 3
x's uncle is Black, x is a Left child
Terminal
case, tree is Red-Black tree
Insertion takes O(lg(n)) time
Requires at most two rotations
Find node to delete
Delete node as in a regular BST
Node to be deleted will have at most one child
If we delete a Red node tree still is a Red-Black tree
Assume we delete a black node
Let x be the child of deleted node
If x is red, color it black and stop
If x is black mark it double black and apply the following:
Case 1
x's sibling is red
x stays at same black height
Transforms to case 2b then terminates
Case 2a
x's sibling is black
x's parent is black
Decreases x black height by one
Case 2b
x's sibling is black
x's parent is red
Terminal case, tree is Red-Black tree
Case 3
x's sibling is black
x's parent is either
x's sibling's left child is red
x's sibling's right child is black
x stays at same black height
Transforms
to case 4
Case 4
x's sibling is black
x's parent is either
x's sibling's left child is either
x's sibling's right child is red
Terminal case, tree is Red-Black tree
Delete time is O(lg(n))
At most three rotations are done
(a,b)-Trees
Let a and b be integers with a >= 2 and 2a-1 <= b. A tree T is an
(a,b)-tree if
a) All leaves of T have the same depth
b) All internal nodes v of T satisfy c(v) <= b
c) All internal nodes v of T except the root satisfy c(v) >= a
d) The root of T satisfies c(v) >= 2
c(v) = number of children of node v
B-Trees of degree t
A tree T is a B-Trees of degree t if
a) All leaves of T have the same depth
b) All nodes of T except the root have at least t-1 keys
c) All nodes of T except the root have at most 2t-1 keys
d) The root of T at least one key
e) A node with n keys has n+1 children
c(v) = number of children of node v
Theorem. If n >= 1, then for any n-key B-tree T of height h and
degree t >= 2 then

proof.
-

so
-

take log of both sides.
Theorem. The worst case search time on a n-key B-tree T of degree t is
O(lg(n)).
- A node in T has t-1 <= K <= 2t-1 keys in sorted order.
-
- Worst case:
- K = t-1 for all nodes
- searching for X not in the tree
-
-
- Given a node, W, in T, how much work does it take to find the subtree of W
that would contain X?
-
- Using binary search it takes
-
=
=
comparisons
-
- Since the height of the tree is in worst case
the total amount of work is:
-
-

Inserting X into B-tree T of degree t
A full node is one that contains 2t-1 keys
1. Find the leaf that should contain X
2. If the path from the root to the leaf contains a full node split the node
when you first search it.
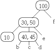
Example t = 2, Insert 25
Full Node is split, Then insert 25 into subtree b
3. Insert X into the proper leaf
Example t = 2, Insert 25
Deleting X from B-tree T of degree t
A minimal node is one that contains t-1 keys and is not the root
In the search path from the root to node containing X, if you come across a
minimal node add a key to it.
Case 3. Searching node W that does not contain X. Let c be the child of W
that would contain X.
Case 3a. if c has t-1 keys and a sibling has t or more keys, steal a key from
the sibling
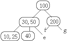
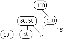
Example t = 2, Delete 250
Case 3b. if c has t-1 keys and all siblings have t-1 keys, merge c with a
sibling
Example 1. t = 2, Delete 250
Example 2. t = 2, Delete 250
Case 2. Internal node W contains X.
Case 2a. If the child y of W that precedes X in W has at least t keys, steal
predecessor of W
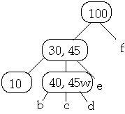
Example 1. t = 2, Delete 50
Now Delete 45w
Case 2b. If the child z of W that succeed X in W has at least t keys, steal
the successor of W
Example 1. t = 2, Delete 30
Now Delete 40w
Case 2c. If both children z and y of W that succeed (follow) X in W have only
t-1 keys, merge z and y
Example t = 2, Delete 30
Now Delete 30w one lower level
Case 1. X is in node W a leaf. By case 3, W has at least t keys. Remove X
from W
Theorem. A Red-Black tree is a B-Tree with degree 2
proof:
Must show:
-
- 1. If a node is red, then both its children are black
2. Every simple path from a node to a descendant leaf contains the same number
of black nodes